2016年3月3日木曜日

戸田城聖の誤れる獄中の悟りが 創価学会の根源悪

どうしてこういうことになって来るのか。それは、戸田城聖の獄中の誤れる悟りを元にして、その誤りを隠すために、都合の良い 御文だけを日蓮大聖人の「三大秘法抄」から引き抜いて切文して傍証に使ったからである。自分に都合の悪い個所は「・・・・・・」で省略し隠してしまった。こういう誤れる仏法理解での改竄をやっていた。そのために創価学会の幹部も会員もその戸田城聖の「仏とは生命なのだ」と獄中で悟った創価学会の生命論の基礎を作ったのがそもそもの根源悪であった。この悪を作った根源の師からづっと今も迷い続けているのである。それを様々に二重三重に隠してきたわけです。池田大作名誉会長もそれを糾していない為に、従って創価学会は戸田の獄中に迷い続ける姿を今も継承しているといえるのである。

戸田城聖が妙悟空のペンネームで書いた「人間革命」
(464頁)(精文館 昭和32年7月3日発行)

戸田城聖が妙悟空のペンネームで書いた「人間革命」
(465頁)(精文館 昭和32年7月3日発行)

戸田城聖が妙悟空のペンネームで書いた「人間革命」
の目次(精文館 昭和32年7月3日発行)

戸田城聖が妙悟空のペンネームで書いた
「人間革命」(精文館 昭和32年7月3日発行)


戸田城聖の妙悟空のペンネームで書いた「人間革命」(精文館 昭和32年7月3日発行)には、「巌さんはこの大衆の中の一人であって、永遠の昔の法華経の会座に連なっているのであり、大聖人が三大秘法抄で仰せられている ・・・・・・ この三大秘法は、二千余年の当初、地涌千界の上首として、日蓮慥かに教主、大覚世尊より口決相承せしなり ・・・・・・ というお言葉が、彼の胸へ彫込まれえでもいたように、この時、ありありと浮き出してきた。」(464頁)とある。

ここで戸田が切文して引用した日蓮大聖人の「三大秘法抄」の御文には、その直後に文が続いているのである。全部を読まないでこの一部だけを読めば文上の理解しか得られないのである。つまり戸田の悟ったような、釈尊より相承を受けた日蓮となるわけだ。この法華経文上の理解というのは戸田城聖の獄中の悟達のことだ。日蓮大聖人を釈迦仏の弟子のように理解しているわけである。そのため日蓮大聖人を御本仏と拝すことができないのです。これは、一般の「日蓮宗」各派と同じく三・五の塵点の釈尊を教主と立てることになってしまっている。

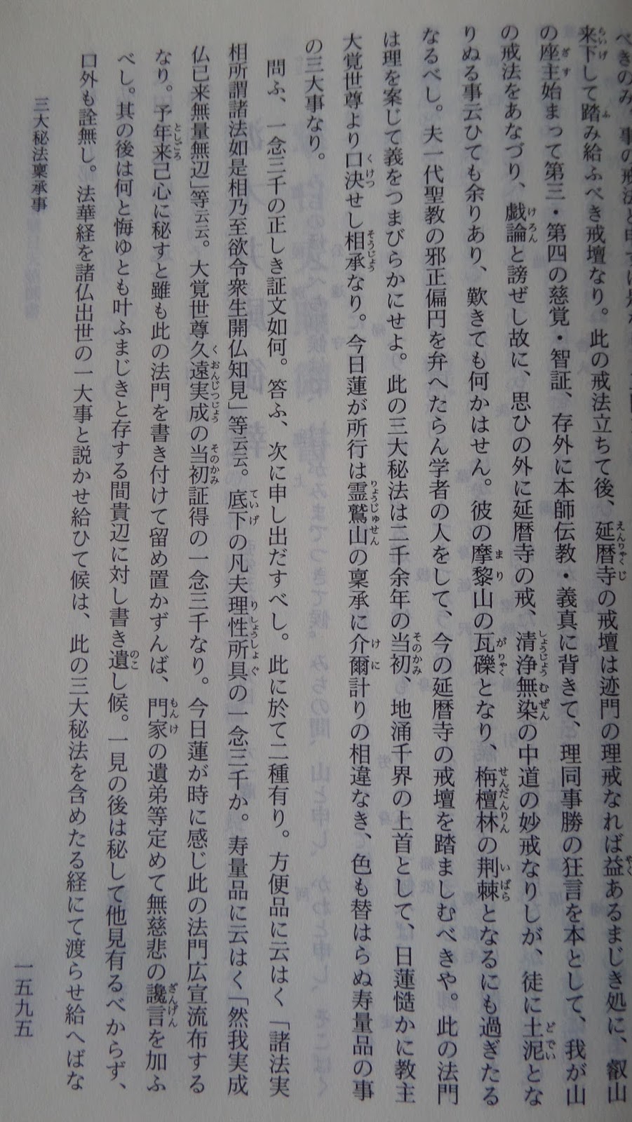
「三大秘法抄」(平成新編1593頁/御書全集1021頁)


戸田城聖によって、「…… この三大秘法は、二千余年の当初、地涌千界の上首として、日蓮慥かに教主、大覚世尊より口決相承せしなり …… 」と、「……」で削り省略され隠された「三大秘法抄」の箇所を今みてみるとそれは、「今日蓮が所行は霊鷲山の稟承に介爾計りの相違なき、色も替はらぬ寿量品の事の三大事なり。」とある部分なのだ。

「二千余年の当初」とは、正法千年と像法千年の二千年ということで、その当初(そのかみ)なわけです。つまり、釈尊がこの世で生まれこの世で修行して仏になったという小乗経や爾前経や法華経迹門でいう始成正覚の釈尊観を破して、それよりもずっと以前の昔の三千塵点劫あるいは五百塵点劫から仏になっていたということなのです。こういう釈尊観が説かれているのですが、この見方の釈尊観を戸田のように日蓮大聖人の御書の切文を使って主張すれば、それは天台延暦寺の戒法になり日蓮大聖人の仏法ではなくなるわけです。つまり「地涌千界の上首」上行菩薩としての日蓮が教主釈尊から教えを口決相承したとなるからです。

こういう戸田城聖のような誤った仏観の解釈は日蓮大聖人はしないのです。日蓮大聖人の見方というのは戸田城聖が切文して消し隠した個所の文にあるわけです。それは、「今日蓮が所行は霊鷲山の稟承に介爾計りの相違なき、色も替はらぬ寿量品の事の三大事なり。」という文なのです。これは三千塵点劫に仏になったのではなく、されに遠い昔の五百塵点劫の当初(そのかみ)、当初というところが大事だと拝しますが、つまり無始無終の久遠からの能化の下種仏だと見るのです。それがこの「三大秘法抄」に書かれているように「寿量品の事の三大事なり」ということなのであり、また「然我実成仏已来無量無辺」ということなのだと拝します。

ですから、戸田はこの寿量品の仏を隠すことで、自分が未顕真実の経典から悟った三千塵点劫下種の仏とその会座にいた上行菩薩の再誕としての日蓮大聖人という文上の解釈だけを見て、後判の分を隠して見ないことにしたのです。今の創価学会もそうだが、第二代創価学会会長の戸田城聖がこのように寿量品に立てるところの仏を嫌うのは自分の戸田城聖の獄中の悟りに反するからなのです。それは菩薩を崇め菩薩行を仏よりも上にする創価学会の体質なのかもしれないが、かれらは、「寿量品の本尊と戒壇と題目の五字なり」「三大秘法抄」(平成新編1593頁/御書全集1021頁)を信じないで日蓮正宗の大石寺の戒壇の大御本尊を否定してくるわけだが、その根源の誤りが戸田城聖の獄中の悟りの中にすでにあったのである。